您好,欢迎来到山东华升化工科技有限公司
全国服务咨询热线:
0543-7698056
PRODUCTS CENTER
产品中心
当前位置:首页  > 产品中心 > 详细信息
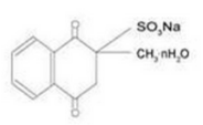
维生素K3
 
维生素K3-MS
维生素K3-MSB
功能和用途:在动物肝脏内参与凝血酶的合成,促进凝血酶原的形成,加速凝血,维持正常的凝血时间。作为动物生长发育不可缺少的营养性添加剂,在动物日粮中需要添加一定量的维生素K3。
 
 
    本文标签:维生素K3
版权所有:山东华升化工科技有限公司
地址:山东省滨州市沾化区城北工业园创业三路11号
公司电话:0543-7698056
邮箱:saleshiela@shandonghs.com
技术支持:山东华拓网络